
Derive is no longer available as a separate program, but the Derive code is now incorporated into TI-Nspire CAS software, distributed by Chartwell-Yorke Ltd, 114 High Street, Belmont Village, Bolton, Lancashire, BL7 8AL, UK. Tel +44 1204 811001, fax +44 1204 811008. email info@chartwellyorke.com, www.chartwellyorke.com/ti-nspire
Derive 5 Training Videos Produced by Terence Etchells of Liverpool John Moores University and Presented by Theresa Shelby, responsible for the Derive interface, for Texas Instruments.
Derive 6 Training Videos On the US Derive website. Produced by Wade Ellis, Jr. and Ed Lodi for Texas Instruments.
The following screenshots are courtesy of Terence Etchells, who has used
Derive to teach both at Bolton Sixth Form College and at Liverpool John Moores
University. 



The following screenshots are courtesy of David Bowers, who has used Derive to teach at Suffolk College. Below: Change the value of variables with on-screen sliders to dynamically graph new values.

Below: Rotate plots with mouse or direction arrows.

Below: Derive worksheet containing annotated 3D graphic and Derive maths session

Below: Derive worksheets let you present questions, workings (now with intermediate steps) graphs and results in one transportable document.

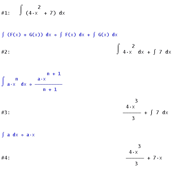
Below: Derive shows intermediate steps in calculations to help students learn the correct procedure and to verify their results and methods.

